发布日期:2023-05-29 浏览次数:
产生激光脉冲最直接的方法是在连续激光器外部加一个调制器。这种方法可产生最快皮秒级的脉冲,虽然简单但会浪费光能并且峰值功率无法超过连续光功率。所以,产生激光脉冲更高效的方法是激光腔内调制,在脉冲串的off-time存储能量并在on-time释放。两种方法的比较如下:

腔外调制
低峰值功率

腔内调制
高峰值功率
通过激光腔内调制产生脉冲的四种常用技术是增益开关、Q开关(损耗开关)、腔倒空和锁模。

===========我是啁啾反射镜分割线===========

=======每次反射补偿1.5 mm熔融石英的色散======
时域和频域脉冲
脉冲随时间变化的线形一般较为简单,可用高斯和sech²函数表示。脉冲时间(也称脉宽)最常使用半高宽(FWHM)值表示,即光功率至少为峰值功率一半所跨的宽度;通过Q开关激光器产生纳秒级短脉冲,通过锁模激光器产生几十皮秒到飞秒级的超短脉冲(USP)。高速电子学最快只能测量几十皮秒,更短的脉冲只能借助纯光学技术,比如自相关仪、FROG和SPIDER。

如果脉冲形状已知,脉冲能量(Ep)、峰值功率(Pp)和脉宽( p)的关系根据下式计算:

其中fs是和脉冲形状相关的系数,对于高斯脉冲约为0.94,对于sech²脉冲约为0.88,但是一般情况都以1近似计算。
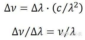
脉冲的带宽可用频率、波长或角频率表示。如果带宽较小,波长和频率带宽使用下式转换,其中,λ和ν分别是中心波长和频率,Δλ和Δν分别是以波长和频率表示的带宽。

带宽极限脉冲对于特定脉冲形状,脉冲在无啁啾时频谱宽度最小,此时我们称之为带宽极限或傅里叶变换极限脉冲,其脉冲时间和频率带宽的乘积是一个常数,这个常数叫做时间带宽积(TBP)。带宽极限高斯和sech²脉冲的时间带宽积分别约为0.441和0.315;据此也能算出实际脉冲的啁啾量和累积的群延迟色散。

所以,越窄的脉宽要求越宽的傅里叶频谱。比如,10 fs脉冲的带宽至少要达到30 THz量级,而阿秒脉冲的带宽更大,其中心频率必须远高于任何可见光频率。
| 1 ms (毫秒) = 10−3 s | 1 ps (皮秒) = 10−12 s |
| 1 μs (微秒) = 10−6 s | 1 fs (飞秒) = 10−15 s |
| 1 ns (纳秒) = 10−9 s | 1 as (阿秒) = 10−18 s |
脉宽影响因素
虽然纳秒或更长的脉冲在传播时脉宽几乎不会改变,即使长距离传播,但是超短脉冲可能受各种因素影响:
